What Is Wrong?
Do you get tired of seeing published photos and articles that are filled with appalling mistakes? On these pages we thought we'd turn some of these mistakes into a little game. Study the picture, and then answer the question. If your guess is incorrect, you can continue guessing, or click on "View answer" to see the solution.
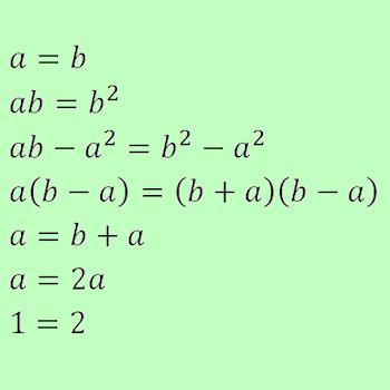
What is Wrong: One Equals Two
This one is a bit different; the person who made this image did not accidentally make a mistake. The mistake was deliberate. The challenge is to figure out why this proof that 1 = 2 is invalid! Can you find the error?
Please note that you must submit a guess before you can view our explanation.
Please note that you must submit a guess before you can view our explanation.
In which line (1, 2, 3, etc.) can a mistake be found?
Answer #1
Check!


